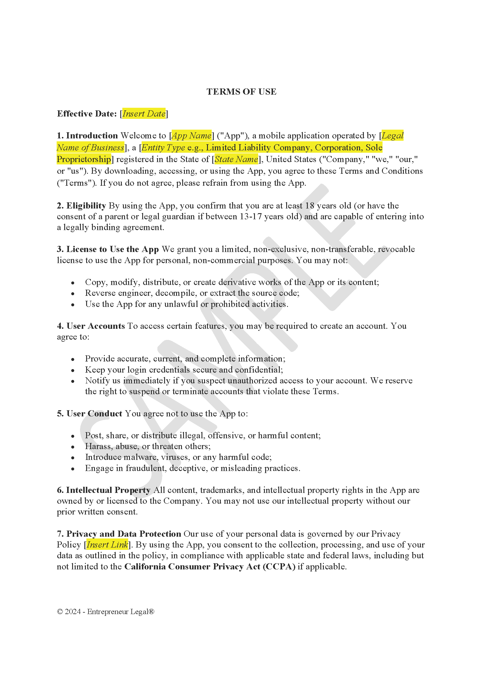
Terms of Use – Mobile (US)
$40.00
The Terms of Use – Mobile (US) is a comprehensive legal document designed to establish the rights, responsibilities, and limitations for users of a mobile application operated by a U.S.-based business. This agreement is intended to ensure compliance with Apple App Store and Google Play Store policies, as well as U.S. state and federal laws.
This document is intended to protect the business from legal disputes, ensure regulatory compliance, and establish clear expectations for users. It is suitable for businesses launching iOS and Android applications in the US and should be customized in accordance with the accompanying tips and instructions before implementation.
Product Features:
- This document is available in Word and PDF formats.
- Includes a set of drafting tips and instructions to assist you with customizing the document for your specific needs.
For assistance with having the document reviewed by a lawyer, please see our Legal Consultation service for more details.
9999 in stock
Description
Key Sections
- Introduction
- Eligibility
- License to Use
- User Accounts
- User Conduct
- Intellectual Property
- Privacy and Data Protection
- Subscription and Payments
- Third-Party Links and Services
- Disclaimer of Warranties
- Limitation of Liability
- Termination
- Compliance with App Store Policies
- Governing Law & Dispute Resolution
- Modifications to the Terms
- Contact Information
Who Should Use This Agreement?
- Startups & Established Businesses launching mobile applications in the U.S.
- E-commerce platforms, SaaS companies, and digital service providers using in-app purchases.
- Social media, gaming, or user-generated content apps requiring content moderation and user policies.
Businesses operating across multiple states needing a flexible, state-compliant agreement.
This template and any associated drafting tips and instructions are for guidance purposes only. It is recommended that both parties seek independent legal advice to ensure the Agreement meets their specific needs.










Reviews
There are no reviews yet.